खण्ड - अ
1. बहुविकल्प प्रश्न - 16* 0.5 = 8 Marks
(I) उत्प्रेरक की उपस्थिति में, अभिव्रिफया वेफ दौरान उफष्मा का अवशोषण अथवा उत्सर्जन ____।
A. बढ़ता है B. घटता है C. अपरिवर्तित रहता है D. बढ़ अथवा घट सकता है
Answer - C
(II) यद्यपि शर्कोनियम (Zr)4d संव्रफमण श्रेणी से तथा हैपफनियम (Hf)5f संव्रफमण श्रेणी से संबंध् रखता है, पिफर भी ये समान भौतिक और रासायनिक गुण प्रदर्शित करते हैं, क्योंकि-
A. दोनों d.ब्लॉक से संबंध्ति हैं। B. दोनों में इलेक्ट्रॉनों की संख्या समान है।
C. दोनों की परमाणु त्रिज्याएँ समान हैं। D.दोनों आवर्त सारणी वेफ एक ही वर्ग से संबंध् रखते हैं।
Answer - C
(III) निम्नलिखित में से कौन-सा क्षार RNA में उपस्थित नहीं होता?
A. ऐडेनीन B. थायमीन C. साइटोसीन D. यूरेसिल
Answer - B
(IV) कौन-सा सेल कॉपर इलेक्ट्रोड के मानक इलेक्ट्रोड विभव का मापन करेगा?
A. Pt (s)| H2(g,0.1 bar) | H⁺ (aq.,1 M) || Cu²⁺(aq.,1M) |Cu
B. Pt(s) | H2(g, 1 bar) | H⁺ (aq.,1 M) || Cu²⁺ (aq.,2 M) | Cu
C. Pt(s) | H2(g, 1 bar) | H⁺ (aq.,1 M) || Cu²⁺ (aq.,1 M) | Cu
D. Pt(s) | H2(g, 1 bar) | H⁺(aq.,0.1 M) || Cu²⁺ (aq.,1 M) | Cu
Answer- C
(V) निम्नलिखित में से कौन-सा 3° ऐमीन है?
A. 1-मेथिलसाइक्लोहेक्सिलऐमीन B. ट्राइएथिलऐमीन C. tert-ब्यूटिलऐमीन D. N-मेथिलऐनिलीन
Answer- B
(VI) निम्नलिखित अभिव्रिफया वेफ लिए आप कौन-सा अभिकर्मक प्रयोग करेंगे?
CH3CH2CH2CH3 → CH3CH2CH2CH2Cl + CH3CH2CHClCH3
A. Cl2 / UV B. NaCl + H2SO4
C. अंध्ेरे में Cl2 गैस D. अंध्ेरे में आयरन की उपस्थिति में Cl2 गैस
Answer - A
(VII) 0.1 mol CoCl₃ (NH₃ )₅ की AgNO₃ के आधिक्य से अभिक्रिया कराने पर AgCl के 3 mol प्राप्त होते हैं। विलयन की चालकता-------------- के समकक्ष होगी।
A. 1:3 वैद्यत् अपघट्य B. 1:2 वैद्यत् अपघट्य
C. 1:1 वैद्यत् अपघट्य D. 3:1 वैद्यत् अपघट्य
Answer- B
(VIII) रासायनिक अभिव्रिफया की सव्रिफयण उफर्जा को निर्धरित किया जा सकता है ।
A. मानक ताप पर वेग नियतांक का निर्धरण करवेफ B.दो तापों पर वेग नियंताकों का निर्धरण करवेफ
C. संघट्टठ्ठ की प्रायिकता का निर्धरण करवेफ D.उत्प्रेरक का प्रयोग करवेफ
Answer - B
(IX) निम्नलिखित में से कौन-सा एल्किल हैलाइड सर्वाध्कि आसानी से SN1 अभिव्रिफया देगा?
A. (CH3 )3C—F B. (CH3 )3C—Cl C. (CH3 )3C—Br D. (CH3 )3C—I
Answer - D
(X) निम्नलिखित यौगिकों की HCl / HBr वेफ साथ बढ़ती हुई व्रिफयाशीलता वेफ सही व्रफम पर निशान लगाइए।
A. a < b < c B. b < a < c C. b < c < a D. c < b < a
Answer - C
(XI) जलीय विलयन में निम्नलिखित में से प्रबलतम क्षार है?
A. CH3NH2 B. NCCH2NH2 C. (CH3 )2NH D. C6H5NHCH3
Answer - C
(XII) निम्नलिखित यौगिक का IUPAC नाम दीजिए।
CH3-CH(Cl)-CH2-CH2-CH(OH)-CH3
A. 2-क्लोरो-5-हाइड्रॉक्सीहेक्सेन B. 2- हाइड्रॉक्सी-5-क्लोरोहेक्सेन
C. 5-क्लोरोहेक्सेन-2-ऑल D. 2-क्लोरोहेक्सेन-5-ऑल
Answer -
(XIII)निम्न यौगिकों में से कौन-सा OH- आयन द्वारा नाभिकरागी प्रतिस्थापन से रेसिमिक मिश्रण देगा।
A. (a) B. (a), (b), (c) C. (b), (c) D. (a), (c)
Answer - A
(XIV) [Pt (NH3 )2 Cl(NO2 )] काIUPAC नाम है।
A. प्लैटिनम डाइऐम्मीनक्लोरोनाइट्राइट
B. क्लोरोनाइट्राइटो-N-ऐम्मीनप्लैटिनम (II)
C.डाइऐम्मीनक्लोरिडोनाइट्राइटो-N-प्लैटिनम (II)
D. डाइऐम्मीनक्लोरोनाइट्राइटो-N-प्लैटिनेट (II)
Answer - C
(XV) निम्नलिखित B समूह वेफ विटामिनों में से कौन-सा हमारे शरीर में संग्रहित हो सकता है?
A. विटामिन B1 B.विटामिन B2 C. विटामिन B6 D. विटामिन B12
Answer - D
(XVI)विलायक की निश्चित मात्रा में घुल सकने वाली ठोस विलेय की अध्कितम मात्रा निर्भर नहीं करती ।
A.ताप पर B.विलेय की प्रवृफति पर C. दाब पर D.विलायक की प्रवृफति पर
Answer - C
2. रिक्त स्थान - 10 * 0.5 = 5
(I) ग्लूकोस एक ऐल्डोहैक्सोस है इसका आण्विक सूत्र ___________ पाया गया।
Answer - C6H12O6
(II)किसी विलयन की_________ 1 kg विलायक में उपस्थित विलेय के मोलों की संख्या के रूप में परिभाषित की जाती है
Answer - मोललता (m)
(III)ध्रुवण समावयव एक-दूसरे के दर्पण प्रतिबिंब होते हैं जिन्हें एक-दूसरे पर अध्यारोपित नहीं किया जा सकता। इन्हें ______________ कहते है
Answer - प्रतिबिंब रूप या एनैन्टिओमर (enantiomers)
(IV) गैल्वैनी सेल के द्वारा किया गया उत्क्रमणीय कार्य _____ में कमी के बराबर होता है।
Answer - गिब्ज़ ऊर्जा
(V) ऐल्किल हैलाइड तथा ऐरिल हैलाइड का मिश्रण, सोडियम वेफ साथ शुष्क ईथर की उपस्थिति में गरम करने पर ऐल्किलऐरीन देता है तथा इसे _________अभिक्रिया कहते हैं।
Answer - वुर्ट्ज-पिफटिग अभिक्रिया
(VI) यदि एक प्रति¯बब रूप दक्षिण ध्रुवण घूर्णक हो तो दूसरा ___________ होगा।
Answer - वाम ध्रुवण घूर्णक
(VII) अभिक्रिया वेग प्रायोगिक परिस्थितियों, जैसे- अभिक्रियकों की सांद्रता (गैसों के संदर्भ में दाब), ताप तथा _____पर निर्भर करता है।
Answer - उत्प्रेरक
(VIII) ऐस्पिरिन ____________ वेफ ऐसीटिलन से प्राप्त होती है।
Answer - सैलिसिलिक अम्ल
(IX) CCl4 में घुली ब्रोमीन वफो ऐल्कीन में डालने से ब्रोमीन का लाल रंग विलुप्त हो जाता है। यह किसी अणु में द्विआबंध की पहचान करने की एक महत्वपूर्ण प्रयोगशाला विधि है। इस संयोजन वेफ परिणामस्वरूप _____________ का संश्लेषण होता है जो कि रंगहीन होता है।
Answer - संनिधि डाइब्रोमाइड (Vic-dibromide)
(X)8MnO4– + _____________ + H2O → 8MnO2 + 6SO42– + 2OH–
Answer - 3S2O32–
3. अतिलघुउतरात्मक प्रश्न - 8*1 = 8 Marks
(I) प्रतिलोम परासरण को संपन्न करने वेफ लिए उपयोग में आने वाले अर्ध्पारगम्य झिल्ली वेफ निर्माण वेफ लिए
एक पदार्थ का उदाहरण दीजिए।
Answer- सेलुलोस ऐसीटेट
(II) बंधनी समावयवता का एक उदाहरण दीजिए
Answer - [Co(NH3)5(NO2)]Cl2
(III) Hg[Co(SCN)4] उपसहसंयोजन यौगिक क IUPAC नाम लिखिए
Answer - मर्क्यूरी (I) टेट्राथायोसायनेटो-S-कोबाल्टेट (III)
(IV)DNA का पूरा नाम क्या है ?
Answer - DNA -डिऑक्सीराइबोस न्यूक्लीक अम्ल
(V) LiAlH4 का पूरा नाम क्या है ?
Answer - लीथियम ऐलुमिनियम हाइड्राइड
(VI) एेसीटोन एवं क्लोरोफॉर्म के मध्य हाइड्रोजन बंध राउल्ट के नियम से कैसा विचलन दिखाता है।
Answer- ऋणात्मक विचलन
(VII) 1 मोल Al3+ को Al में अपचयन के लिए कितने आवेश की आवश्यकता होगी?
Answer - 3
(VIII) संक्रमण तत्त्वों की 3d श्रेणी का कौन सा तत्व बड़ी संख्या में अॉक्सीकरण अवस्थाएं दर्शाता है ?
Answer - Mn
खण्ड - ब
लघु उत्तर प्रश्न - 12 * 1.5 = 18 Marks (प्रश्न संख्या 4 से 15 तक)
4. स्पष्ट कीजिए कि 1 मोल NaCl को एक लिटर जल में मिलने पर जल वेफ क्वथनांक में वृद्धि क्यों होती है, जबकि एक लिटर जल में एक मोल मेथिल ऐल्कोहॉल घोलने पर जल का क्वथनांक कम हो जाता है।
Answer - NaCl एक अवाष्पशील विलेय है। पफलतः जल में NaCl को मिलाने से जल का वाष्प दाब कम
हो जाता है। परिणामस्वरूप जल का क्वथनांक बढ़ जाता है। वहीं दूसरी ओर मेथिल ऐल्कोहॉल जल
की तुलना में अध्कि वाष्पशील है। अतः इसे मिलाने से विलयन वेफ उफपर वुफल वाष्प दाब बढ़
जाता है अतः जल का क्वथनांक कम हो जाता है।
5. सायनाइड आयन उभदंती नाभिकरागी वेफ समान व्रिफया करता है। जलीय माध्यम में यह किस छोर से प्रबल
नाभिकरागी का कार्य करता है? अपने उत्तर का कारण दीजिए?
Answer- यह कार्बन की ओर से प्रबल नाभिकरागी का कार्य करता है क्योंकि इसमें C-Cबंध् बनता
है जो C-N बंध् से अध्कि स्थायी होता है।
6. निम्नलिखित यौगिकों को अम्लता वेफ बढ़ते हुए व्रफम में व्यवस्थित कीजिए और उपयुक्त स्पष्टीकरण
लिखिए।
फीनॉल, o-नाइट्रोप्फीनॉल, .o-फीसॉल
Answer - अम्लता का बढ़ता हुआ व्रफम- o-फीसॉल < फीनॉल < o-नाइट्रोप्फीनॉल
प्रतिस्थापित फीनॉलों में इलेक्ट्रॉन अपनयक समूहों की उपस्थिति फीनॉल की अम्ल प्रबलता बढ़ा देती है जबकि इलेक्ट्रॉन विमोचित करने वाले समूह फीनॉल की अम्ल प्रबलता घटाते हैं
7.Mn, Ni और Zn वेफ EMF मान अपेक्षा से अध्कि ऋणात्मक (negative) क्यों हैं?
Answer - Mn2+ तथा Zn2+ वेफ ऋणात्मक EMF मान व्रफमशः उनवेफ अर्ध्पूर्ण और पूर्ण विन्यासों वेफ स्थायित्व से संबंध्ति होते हैं। परन्तु Ni2+ का EMF मान जलयोजन की उच्चतम )णात्मक एन्थैल्पी से संबंध्ति होता है।
8.कार्बोक्सिलिक अम्ल ऐल्कोहॉलों अथवा फीनॉलों से अध्कि अम्लीय क्यों होते हैं जबकि सभी में हाइड्रोजन परमाणु ऑक्सीजन से जुड़ा रहता है? (—O—H)
Answer -- H+ आयन वेफ निकलने वेफ बाद बने ऋणायन की स्थिरता की तुलना कीजिए। बनने वाला
ऋणायन जितना अधिक स्थायी होगा, O-H आबंध् का विदलन उतना ही अध्कि आसान होगा, अम्ल उतना ही अध्कि प्रबल होगा।
9. ग्रीन्यार अभिकर्मक वेफ उपयोग में लेशमात्रा नमी भी न होना क्यों आवश्यक है?
Answer - ग्रीन्यार अभिकर्मक अत्यध्कि व्रिफयाशील होते हैं और जल से अभिव्रिफया करवेफ संगत हाइड्रोकार्बन
देते हैं RMgX + H2O → RH + Mg(OH)X
10.यौगिकA को यौगिकB वेफ क्षारकीय KMnO4 द्वारा ऑक्सीकरण से बनाया गया। यौगिक A लीथियम
एल्युमिनियम हाइड्राइड से अपचयन द्वारा वापस यौगिक B में परिवर्तित हो जाता है। यौगिक A और को H2SO4 की उपस्थिति में गरम करने पर यौगिक C की फलों जैसी गंध् आती है। यौगिक A, Bऔर C किस वर्ग से संबंधित हैं?
Answer - A- कार्बोक्सिलिक अम्ल, B- ऐल्कोहॉल और C-एक एस्टर है।
11.ग्लूकोस किन अवस्थाओं में ग्लूकोनिक और सैवैफरिक अम्ल में परिवर्तित हो जाता है?
Answer - ग्लूकोस ब्रोमीन द्वारा ग्लूकोनिक अम्ल में और सांद्र HNO3 अम्ल द्वारा सैवैफरिक अम्ल में परिवर्तित होता है।
12. 2.5 g एथेनोइक अम्ल (CH3COOH) के 75 g बेन्जीन में विलयन की मोललता की गणना करो।
Answer - 0.556 mol kg–1
13. समान ज्यामिती वाले यौगिकों का चुंबकीय आघूर्ण भिन्न क्यों होता है?
Answer - संवुफलों में यह दुर्बल और प्रबल लिगंडों की उपस्थिति वेफ कारण होता है, जिसवेफ पफलस्वरूप इनकी CFSE भिन्न होती है। यदि CFSE उच्च है तो संवुफल चुंबकीय आघूर्ण का निम्न मान दर्शाता है
तथा इसवेफ विपरीत भी। उदाहरणार्थ , [CoF6 ] 3– और [Co(NH3 )6 ] 3+ , पहले वाला अनुचुंबकीय होता है और बाद वाला प्रतिचुंबकीय होता है।
14.संव्रफमण तत्व उच्च गलनांक प्रदर्शित करते हैं, क्यों?
Answer - संव्रफमण धतुओं वेफ उच्च गलनांक ns इलेक्ट्रॉन वेफ अतिरिक्त बड़ी संख्या में (n-1)d इलेक्ट्रॉनों
वेफ अंतरापरमाणुक धात्विक बंध्न में भाग लेने वेफ कारण होते हैं।
15. ताप में वृद्धि से अभिव्रिफया वेग क्यों बढ़ता है?
Answer - उच्च ताप पर संघट्टठ्ठ करने वाले कण अध्कि संख्या में उफर्जा अवरोध् अर्थात सव्रिफयण उफर्जा को
पार करते हैं जिससे वेग अध्कि हो जाता है।
खण्ड - स
दीर्घ उत्तर प्रश्न - 3 * 3 = 9 Marks (नोट - प्रत्येक प्रश्न में विकल्प दिया गया है)
16.निम्नलिखित अभिक्रिया तृतीयक ब्यूटिल एथिल ईथर बनाने वेफ लिए उपयुक्त नहीं है।
(क) इस अभिक्रिया का मुख्य उत्पाद क्या होगा?
(ख) तृतीयक-ब्यूटिलएथिल ईथर बनाने वेफ लिए उपयुक्त अभिक्रिया लिखिए?
Answer - (क)दी गई अभिक्रिया में 2-मेथिलप्रोप-1-ईन मुख्य उत्पाद है क्योंकि सोडियम एथॉक्साइड एक प्रबल नाभिकरागी एवं प्रबल क्षारक है, अतः विलोपन प्रतिस्थापन से अध्कि प्रधान होता है।
अथवा
16. निम्नलिखित ईथरों को HI वेफ साथ गरम करने से प्राप्त मुख्य उत्पाद दीजिए।
(क)

(ख) 
Answer -
17. (क) 600 K ताप पर एथिल आयोडाइड के निम्नलिखित अभिक्रिया द्वारा अपघटन में, प्रथम कोटि वेग स्थिरांक1.60 × 10-5s-1 है। इस अभिक्रिया की सक्रियण ऊर्जा 209 kJ/mol है। 700 K ताप पर वेग स्थिरांक की गणना कीजिए। C2H5I(g) → C2H4 (g) + HI(g)
(ख)अभिक्रिया की कुल कोटि की गणना कीजिए जिनका वेग व्यंजक है
वेग
Answer - (क)
हम जानते हैं कि- 
l
og k2 = -4.796 + 2.599 = -2.197
k2 = 6.36 × 10-3 s-1
(ख) द्वितीय कोटि
अथवा
17. (क)किसी अभिक्रिया के 500 K तथा 700 K पर वेग स्थिरांक क्रमशः 0.02 s-1 तथा0.07 s-1 हैं। Ea एवं A की गणना कीजिए।
(ख)अभिक्रिया की कुल कोटि की गणना कीजिए जिनका वेग व्यंजक है
वेग 
(ख) अर्द्ध कोटि
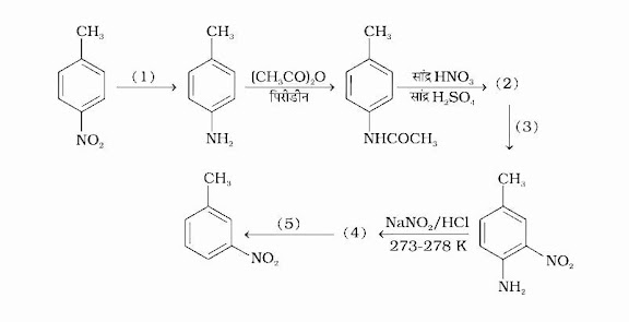
18. आप 4-नाइटंोटॉलूईन को 2-ब्रोमोबेन्शोइक अम्ल में वैफसे परिवर्तित करेंगे?
अथवा
18. निम्नलिखित अभिव्रिफया व्रफम में अभिकर्मक अथवा उत्पाद की प्रागुक्ति कीजिए।
खण्ड - द
निबंधात्मक प्रश्न - 2 * 4 = 8 Marks (नोट - प्रत्येक प्रश्न में विकल्प दिया गया है)
19.(क) CuSO4 के विलयन को 1.5 एेम्पियर की धारा से 10 मिनट तक वैद्युतअपघटित किया गया। कैथोड पर निक्षेपित कॉपर का द्रव्यमान क्या होगा?
(ख)NaCl, HCl एवं NaAc के लिए Λm º क्रमश: 126.4, 425.9 एवं 91.0 S cm2 mol–1 हैं। HAc के लिए Λo का परिकलन कीजिए।
Answer - (क) t = 600 s
आवेश = धारा × समय = 1.5 A × 600 s = 900 C
अभिक्रिया– Cu2+(aq) + 2e- → Cu(s) के अनुसार, एक मोल या 63 g Cu को निक्षेपित करने के लिए हमें 2F या 2 × 96487 C आवेश की आवश्यकता होगी।
अत: 900 C द्वारा निक्षेपित Cu का द्रव्यमान
= (63 g mol-1 × 900 C)/(2 × 96487 C mol-1) = 0.2938 g
अथवा
19.(क) 0.001028 mol L–1 एेसीटिक अम्ल की चालकता 4.95 × 10–5 S cm–1 है। यदि एेसीटिक अम्ल के लिए Em º का मान 390.5 S cm2 mol–1 है तो इसके वियोजन स्थिरांक का परिकलन कीजिए।
(ख) डेन्यल सेल के लिए मानक इलैक्ट्रोड विभव 1.1 V है। निम्नलिखित अभिक्रिया के लिए मानक गिब्ज़ ऊर्जा का परिकलन कीजिए।
Zn(s) + Cu2+(aq) → Zn2+(aq) + Cu(s)
(ख)∆rGθ = – nFE°꜀ₑₗₗ
उपरोक्त समीकरण में n का मान 2 है। F = 96487 C mol–1 एवं
E°꜀ₑₗₗ = 1.1 V अत: ∆rGθ = – 2 × 1.1 V × 96487 C mol–1 = -21227 J mol–1 = –212.27 kJ mol-1
20.निम्नलिखित अभिक्रियाओं वेफ उत्पादों को पहचानिए.
(i)
(ii)
(iii)
(iv)
Answer -
अथवा
20. निम्नलिखित यौगिकों को बेन्शोइक अम्ल में कैसे परिवर्तित किया जा सकता है?
(i) एथिलबेन्शीन
(ii) ऐसीटोफीनोन
(iii) ब्रोमोबेन्शीन
(iv) फनिलएथीन (स्टाइरीन)
Comments
Post a Comment